Au cours de différentes discussions sur le puriFlash® MS, il est souvent mentionné la limite maximum de masse de ce détecteur (2000 m/z pour le modèle puriFlash®MS L). Ce paramètre est important, surtout pour les composés de masses molaires élevées, comme cela est régulièrement le cas pour les peptides.
Pour accélérer l’identification de ces produits, notre système permet via un algorithme, de remonter à la masse molaire de celui-ci, il s’agit de la déconvolution par détection de l’état de charge.
Avec une application, nous allons montrer avec quelle facilité il est possible de remonter à cette information.
Déconvolution de l’état de charge : une méthode simple pour intensifier le signal
En spectrométrie de masse, les peptides sont visibles avec une source ESI. Dans des conditions “douces”, ils peuvent s’ioniser plusieurs fois, ce qui les rends visibles dans la gamme de m/z du puriFlash® MS.
Connaissant la charge des différents pics dans le spectre de masse, un algorithme permet de “trouver”, automatiquement la masse initiale du peptide.
L’algorithme de déconvolution d’Advion Interchim Scientific utilise une combinaison de génération d’enveloppe de charge prédictive, de calcul de chevauchement avec les données MS réelles acquises en utilisant une approche de qualité d’ajustement à entropie maximale, suivie de l’élimination des artefacts par la détermination de la signification des pics.
Cette approche permet une déconvolution rapide sur une large gamme de masse en quelques secondes.
Elle permet également une sortie de masse neutre où l’intensité du signal absolu est directement corrélée à l’intensité du signal des données brutes MS et à la concentration de l’analyte en solution.
En pratique, avec le puriFlash® MS, il est très simple d’effectuer cette opération.
Il suffit de :
- Acquérir le spectre de masse du composé avec le software “Advion Data express” :

- Filtrer le signal pour une meilleure visualisation.

- Bouton déconvolution.

Quand on clique sur le bouton “déconvolution”, une fenêtre apparaît, on peut indiquer :
![]() |
|
Puis cliquer sur “OK”, le spectre déconvolué apparaît.

Mise en application
Dans un premier temps, nous avons mis au point une purification de 4 peptides de masse molaire entre 10 et 27 kDa, en phase inverse.
Ne connaissant pas l’ordre de sortie des différents peptides, ils seront collectés afin d’être identifiés en injection directe sur le puriFlash®MS.
Enfin, la méthode sera optimisée afin de diminuer le temps de purification.
Système : puriFlash® 5.250P
Solvants :
A : Eau + 0,1 % AF
B : Acétonitrile + 0,1 % AF
Colonne : PM-30C18-F0025
Débit : 15 mL/min
Mode d’injection : liquide (composés lyophilisés reconstitués et mis en solution)
Volume injecté : 150 µL
Composés :
Cytochrome c from horse heart (P/N: 1J484A)
Lysozyme from chicken egg white, salt free (P/N: 6D6694)
Myoglobin Type I. horse skeletal muscle (P/N : 294440)
Chymotrypsinogen A, from bovine pancreas (P/N: IYQ650)
Gradient :
| T (min) | A % | B % |
| 00:00 | 75.0 | 25.0 |
| 23:00 | 47.0 | 53.0 |
| 23:03 | 0.00 | 100 |
| 30:00 | 0.00 | 100 |
Résultats :

Conclusion
Les différents pics ont été collectés dans des tubes afin d’être identifiés avec le puriFlash®MS en injection directe.
Conditions MS :
Solvents make-up: Water (20%) / MeOH (80%) + 0,1% AF
Flow rate: 0,2 mL/min
Source type: ESI
Source parameters:
Mode: Positif
Capillary temperature: 200°C
Capillary voltage: 160 V
Source voltage offset: 30 V
Source voltage span: 5 V
Source gas temperature: 250 °C
ESI Voltage: 3500 V
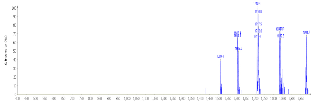
Les spectres obtenus sont les suivants :
Pic 1 : Spectre de masse

Résultat après déconvolution de l’état de charge

Le résultat après analyse MS de la première fraction, montre que le composé est le Cytochrom C de masse molaire ~11.8kDa.
Pic 2 : Spectre de masse

Résultat après déconvolution de l’état de charge

Le résultat après analyse MS de la seconde fraction, montre que le composé est le lysozyme, de masse molaire ~14.3kDa.
Pic 3 : Spectre de masse

Résultat après déconvolution de l’état de charge

Le résultat après analyse MS de la troisième fraction, montre que le composé est la Myoglobine, de masse molaire ~17kDa.
Pic 4 : Spectre de masse

Résultat après déconvolution de l’état de charge

Le résultat après analyse MS de la dernière fraction, montre que le composé est le Chymotrypsinogène de masse molaire ~25.6kDa.
Optimisation
Une fois les différents pics identifiés, la méthode a été optimisée afin de permettre une purification plus rapide, tout en gardant le niveau de pureté souhaité, grâce aux colonnes puriFlash® Monolith.
Gradient :
| T (min) | A % | B % |
| 00:00 | 75.0 | 25.0 |
| 07:00 | 47.0 | 53.0 |
| 07:03 | 0.00 | 100 |
| 11:00 | 0.00 | 100 |

L’étape de purification a été réduite de 60%.
Conclusion
Le puriFlash®MS permet une identification rapide des composés, allié aux performances de la phase puriFlash® Monolith, il est possible de diminuer le temps de vos purifications.
En plus d’être compatible avec les appareils de la gamme puriFlash®, le puriFlash® MS est facilement adaptable pour différentes applications, en effet il est possible de :
- Coupler à des systèmes HPLC, ou de purification
- Coupler un Plate Express pour analyser des spots de plaques CCM
- Installer une source pour injection de solide (ASAP)
- Installer une source pour analyse directe par port ouvert (OPSI)
- Identifier des molécules de tailles importantes, grâce à la fonction de déconvolution de charge, rapidement et simplement par traitement post run.
En savoir plus :
- Rendez-vous sur notre site www.flash-chromatographie.com pour plus de détails
- N’hésitez pas à nous contacter : info@advion-interchim.com





