La photochimie s’est considérablement développée ces dernières années et une multitude de réactions photochimiques sont, désormais, utilisées comme étapes-clés pour simplifier la synthèse organique et contribuer au développement de la chimie verte.
Contrairement à une activation thermique où l’énergie provient du chauffage, une activation photochimique se fait à température ambiante sous irradiation d’une onde électromagnétique. Il s’agit généralement d’un rayonnement U.V. ou même de la lumière visible, dépendamment du composé en solution.
Une réaction photochimique se résume à cette équation :

Avant de procéder à une réaction photochimique, il est indispensable de connaître le spectre d’absorption électronique des substances à irradier.

Les réactions photochimiques permettent, entre autre, la formation d’une ou plusieurs liaisons C-C, cycliques ou non, tout en évitant, dans de nombreux cas, la mise en place de groupes activants ou protecteurs et la formation de sous-produits. Elles sont le plus souvent régio et stéréospécifiques et tolèrent la présence de nombreux groupes fonctionnels.
Ces divers avantages se traduisent par une diminution du nombre d’étapes par rapport aux stratégies de l’état fondamental.
Réarrangement de diénones:

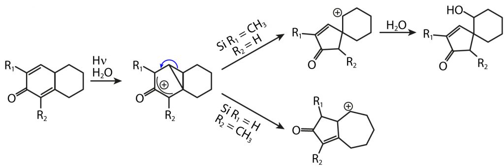
Réaction de Wender:

Pour réaliser ces réactions photochimiques, de nombreux réacteurs commerciaux mettent en œuvre des lampes plongeantes, munies de filtres en verre ou en quartz, et permettent le passage d’un fluide de refroidissement, ainsi qu’un dégazage par barbotement de gaz inerte (azote, argon).

Réacteur photochimique à puits d’immersion
(750 ml) avec lampe à vapeur de mercure.

Tube de Schlenk contenant une suspension de cristaux oranges de Fe2(CO)9 en acide acétique après sa synthèse photochimique à partir de Fe(CO)5. La lampe de mercure est à gauche, branchée aux cordons d’alimentation blancs et refroidie par l’eau.
Ces réacteurs photochimiques discontinus présentent un certain nombre d’avantages mais ont aussi des limites.
Pour améliorer cela, les procédés en flux continu commencent à être utilisés avec succès. Ils permettent de réduire les coûts, les temps de réactions, les dangers intrinsèques liés aux effets d’échelle, pour améliorer la sélectivité des produits, réduire les quantités de catalyseurs nécessaires et pour suivre en temps réel le déroulement des réactions.
Interchim® propose deux systèmes performants et innovants pour la photochimie en continu, le PhotoSyn™ d’UniQsis et le Lab Photo Reactor™ de Corning.
PhotoSyn™ UniQsis :
Longueur d’onde lumière bleue, de 400 à 500 nm, 720 W
Système de refroidissement à eau intégral, inclus
Contrôle indépendant de la température du réacteur et des lampes
Module compatible avec :
Le Polar Bear™ Plus pour une gamme de température allant de -40°C à +150°C
Le Cold Coil™ + un thermorégulateur approprié pour une gamme de température allant de -70°C à +150°C
Les réacteurs type bobine en PFA 2,5 ml, 5 ml, 14 ml, 20 ml et 52 ml
Les micro réacteurs en verre 0,27 ml, 2 ml, 2 or 3 ways
Le spectrophotomètre Flow-UV™
Lab Photo Reactor™ Corning :
1 chemin fluidique éclairé des deux côtés par 2 rangées de LED
Mélange et échange thermique optimals grâce au mélangeur statique Heart breveté
Volume interne faible : 2,5 ml
Régulateur de pression intégré
Mesure de la T° allant de -10°C à + 150°C
Système complet sans métal, prêt pour utilisation
Lampes LED réglables avec 6 longueurs d’ondes différentes
Contrôle sans fil de la sélection de la longueur d’onde et de l’intensité
Système polyvalent, approprié pour la réalisation de synthèses liquides et liquide-gaz
En conclusion, la photochimie en continu apporte de nombreux avantages. En plus de repousser les limites des techniques conventionnelles, elle permet de :
- Réduire les déchets et les coûts.
- Mettre en évidence certains intermédiaires.
- Donner accès à des structures cycliques complexes et parfois même exotiques, inatteignables par les voies classiques de la chimie organique.
- Raccourcir et simplifier les synthèses multi étapes des composés complexes.
- Accéder à de nombreuses familles de composés.
- Enrichir la chimie rédox des composés organiques.
- Influencer favorablement les différentes formes de catalyse.
- Ne pas utiliser, dans certains cas, aucun réactif chimique (acide, base, métal,…) ou un groupement activant.
- Monter en échelle plus facilement.
- …
En savoir plus :
- Retrouvez le PhotoSyn™ d’ UniQsis directement sur notre site.
- Retrouvez le Lab Photo Reactor™ Corning directement sur notre site.




